Nanobioscience Lab Institute of Physics Academia Sinica
Microfluidics and Nanofluidics

Anomalous diffusion

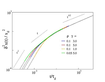
This project focuses on a particular model for diffusion in quasi-1 dimensional systems, namely the Single File (SF) model. This model, firstly introduced to account for the movement of molecules in biological tissues, lies in an assembly of N Brownian unit-mass particles (rods), moving in a one dimensional substrate. The actual research activity concerns the characterization of universality class among anomalous diffusion systems who share similar asymptotic statistical properties with SF. In Fig.1 several SF curve are plotted against the solution of a Fractional Langevin Equation (Taloni-Lomholt, in press PRE). We are using micro/nanofluidic channels to construct a SF system to test the theoretical model.

Figure 1

Figure1

> BACK TO MICROFLUIDICS AND NANOFLUIDICS PROJECTS

 

> BACK TO PROJECT AREAS

POSTAL ADDRESS: 周家復老師實驗室 中央研究院物理所 北市115南港區研究院路二段128號 128, Sec. 2, Academia Rd., Nankang District, Taipei 11529, Taiwan. PHONE: 886-2-2789-6761 Office / 886-2-2789-8447/ 8908 Lab. FAX: +886-2-2651-0704 E-mail contact: cfchou@phys.sinica.edu.tw